Illegal immigrants who stay in the U.
S. after getting deportation orders from the court could be fined up to half a million dollars, the Trump administration has warned.
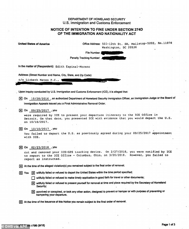
Reporting on the case of Ohio woman Edith Espinal-Moreno, National Public Radio broke the shocking news on Tuesday.
Edith was ordered to leave the U.S. in October 2016. But instead of returning to her home country Mexico, she took shelter in a Mennonite church in early 2017.
The woman also cut off her ankle monitor which was a condition of her bail immigration hearings, a letter sent to her attorney claims.
Now, U.S. Immigration and Customs Enforcement have sent her a notice ‘to pay a fine in the amount of $497,777’ and leave the country.
‘Aliens who have been ordered removed or granted voluntary departure and fail to depart the United States’ can be subjected to fines of up to $500 per day by ICE, as per an authority which takes its roots from the 1965 Immigration and Nationality Act.
The Trump administration is now planning to launch a large-scale immigrant sweep, targeting people like Edith who have evaded the orders of immigration judges.
During his first week in office, Trump signed an executive order which directed Homeland Security secretary to ‘ensure the assessment and collection of all fines and penalties’ allowed by law ‘from aliens unlawfully present in the United States and from those who facilitate their presence in the United States.’
Edith, who is from Michoacán, Mexico, entered the US by jumping the Texas border in 2013 with her 15-year-old son Brandow, The Columbus Dispatch reported.
She also gave birth to two other children – both of whom are now U.S. citizens – because they were born at American soil.
Edith’s lawyer Lizbeth Mateo said when she read the ICE’s notice to her client, she burst into laughter.
Speaking to NPR, Mateo said: ‘It’s almost half a million dollars. Are they for real? Do they really think that she’s going to pay this?
‘I laughed, because there has to be someone in some basement in D.C. thinking, “Oh, what else can I do to mess with immigrants? What else can I do to hurt them?”‘
The notice from the ICE was signed on June 25th – 972 days after Edith’s deportation order came into effect on October 28th, 2016.
According to ICE, Edith first agreed to leave the U.S. but after some time, she stopped attending her immigration hearings and removed her ankle bracelet.
The 42-year-old has now got one month to contest ICE’s order before it becomes final.
Speaking to The Columbus Dispatch six years ago, Edith said: ‘We’re not criminals. We’re just people trying to live our lives.’





